氣凝膠是低密度、主要是介孔固體,具有優異的性能,包括低密度、高比表面積、低介電常數和超低導熱率。如石墨烯或碳納米管氣凝膠、、聚氨酯和聚酰亞胺氣凝膠、生物聚合物例如纖維素、殼聚糖和蛋白質氣凝膠,以及它們的復合材料和雜化物。特別是在過去十年中,描述新氣凝膠材料、生產工藝和應用的科學論文和專利數量呈現名副其實的爆炸式增長,涵蓋隔熱、輸送、環境修復、催化和聲學等領域。
盡管氣凝膠領域的重要性日益凸顯,或許正因為如此,“氣凝膠”的定義仍存在爭議。早期的定義通常基于生產過程中采用的干燥技術:如用于超臨界干燥的氣凝膠、用于冷凍干燥的冷凍凝膠和用于蒸發干燥的干燥凝膠。然而,較新的定義則更多基于材料特性,尤其是高比例的介孔性。最終,氣凝膠最廣泛的定義是通過用空氣替代孔流體而從凝膠衍生的任何材料,在孔徑或其他特性方面不作限制。這一更廣泛的定義主要涵蓋大孔材料,這些材料不具備通常與氣凝膠相關的介孔性、高表面積或超低導熱性,例如凍干纖維素泡沫。
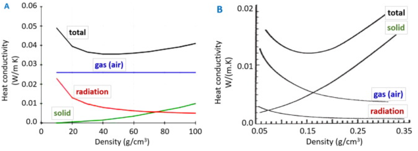
二氧化硅氣凝膠通過溶膠-凝膠工藝生產,已提出多種變體以提升資源和成本效益。然而,大多數工藝仍遵循相同的基本步驟。二氧化硅溶膠的凝膠化通常由添加酸或堿以降低納米顆粒電荷穩定性而觸發。凝膠化后,通過二氧化硅的溶解沉淀反應,加強顆粒間作用力,從而提升凝膠的機械穩定性。二氧化硅氣凝膠的工業成功幾乎完全得益于其在隔熱應用中的表現。其導熱系數低至0.012 W/(m·K),這主要歸因于顆粒網絡的高孔隙率和曲折性,限制了固體熱傳導;同時,由于克努森效應,小孔徑低于氣體分子平均自由程長度,減少了氣相熱傳導。這種超低導熱性(僅為常置空氣和傳統絕緣材料的一半)催生了快速增長的數億美元市場。總熱導率與材料密度密切相關,如圖1所示。對于傳統絕緣材料,輻射貢獻顯著,尤其在孔徑極大時,空氣對流亦不可忽視。隨著密度增加,輻射熱傳導降低,而固體熱傳導增加。由于這些競爭效應,熱導率對密度呈現U形依賴性。對于氣凝膠材料,上述影響同樣存在,但因氣凝膠內孔徑小于空氣平均自由程,氣相傳導急劇降低,減少了空氣分子碰撞頻率,從而降低氣體熱傳遞,使得總熱導率的最小值移至更高密度和(多)低電導率區域。

圖 1. A) 傳統絕緣材料的導熱系數 B)氣凝膠材料的導熱系數
二氧化硅氣凝膠納米顆粒通過相互連接構建了多重網格結構,但顆粒間的連接較弱,導致純二氧化硅氣凝膠存在力學性能差、強度低、脆性強等缺點。為解決這些問題,研究者們探索了多種增強策略。芳綸纖維,以其低密度、低導熱性和高機械強度,成為增強二氧化硅氣凝膠的理想選擇。芳綸纖維在空氣中的分解溫度高達約450°C,使其特別適合用于高溫隔熱應用。2016年,芳綸纖維增強二氧化硅氣凝膠復合材料(AF/氣凝膠)成功制備,隨后,縮水甘油氧丙基三甲氧基硅烷(GPTMS)接枝芳綸纖維以及聚四氟乙烯涂層芳綸纖維氣凝膠復合材料相繼推出。這些復合材料在保持低密度和低導熱性的同時,顯著提高了抗壓強度和彎曲強度。
進一步的研究表明,芳綸纖維的熱性能和機械性能使其在防彈應用中表現出色。與芳綸織物相比,氣凝膠整體的防彈測試樣品中織物的穿孔率減少了72%。Almeida等人在2021年比較了二氧化硅氣凝膠與芳綸纖維、毛氈的增強效果,發現使用細長纖維的復合材料具有更低的堆積密度和更好的柔韌性,適合于形狀適應和振動應用。

圖2芳綸增強氣凝膠復合材料制備流程圖
芳綸與氣凝膠的復合,實現了材料性能的互補與提升。芳綸纖維作為增強體,為氣凝膠提供了強大的力學支撐,改善了氣凝膠的力學性能,而氣凝膠則利用其隔熱、吸音等特性,與芳綸纖維相輔相成。例如,通過濕法抄紙工藝制備的芳綸/氣凝膠復合材料,在保持芳綸紙使用性能的同時,具有更好的耐熱性能。這些復合材料在隔熱領域的應用前景廣闊,為材料科學的發展提供了新的思路和可能。
芳綸氣凝膠復合材料的隔熱性能堪稱一絕,這主要得益于其獨特的微觀結構 。氣凝膠內部擁有大量的納米級孔隙,這些孔隙相互連通,形成了一個三維多孔網絡結構 。當熱量傳遞時,氣體分子在孔隙中進行熱傳導,而氣凝膠的高孔隙率使得氣體分子的平均自由程增大,從而大大降低了氣體的熱傳導效率 。同時,氣凝膠的固體骨架由納米級的顆粒或纖維構成,其表面積很大,熱量在固體骨架中的傳導也受到了極大的阻礙 。此外,氣凝膠的低輻射率也使得其能夠有效地阻擋熱輻射的傳遞 。
在不同溫度下,芳綸氣凝膠復合材料的隔熱效果都十分出色 。與傳統的隔熱材料如巖棉、玻璃棉相比,它具有更低的導熱系數 。巖棉的導熱系數一般在 0.04 - 0.06W/(m?K) 之間 ,玻璃棉的導熱系數約為 0.03 - 0.05W/(m?K) ,而芳綸氣凝膠復合材料的導熱系數可低至 0.01-0.03W/(m?K) ,這意味著它能夠更有效地阻止熱量的傳遞。在高溫環境下,傳統隔熱材料的性能可能會受到影響,如巖棉在高溫下可能會發生收縮、脆化等現象 ,導致隔熱性能下降 。而芳綸氣凝膠復合材料則具有良好的熱穩定性,能夠在高溫環境下保持穩定的隔熱性能 。在工業高溫設備中,如鍋爐、熔爐等,芳綸氣凝膠復合材料可用于制作隔熱襯里、保溫套等 ,有效減少熱量的散失,提高能源利用效率 。在建筑外墻保溫領域,使用芳綸氣凝膠復合材料作為保溫材料,可以顯著降低建筑物的能耗,提高室內的舒適度 。在一些極端寒冷的地區,這種材料能夠阻擋室外的寒冷空氣進入室內,保持室內溫暖;在炎熱的夏季,又能阻止室外的熱量傳入室內,減少空調等制冷設備的能耗 。
在航空航天領域,芳綸氣凝膠復合材料可謂是大顯身手。在飛行器結構件方面,它憑借自身出色的力學性能和低密度特性,成為了制造飛機機翼、機身、尾翼等部件的理想材料。以波音系列飛機為例,部分機型在結構件中采用了芳綸氣凝膠復合材料,有效減輕了飛機的重量,提高了飛行性能 。與傳統金屬材料相比,芳綸氣凝膠復合材料的密度大幅降低,這使得飛機在飛行過程中消耗的燃油減少,運營成本顯著降低。同時,其高強度和高模量能夠保證飛機在高速飛行和復雜氣象條件下的結構穩定性,為飛行安全提供了堅實保障 。
在隔熱部件方面,芳綸氣凝膠復合材料的隔熱性能使其成為了航空航天領域的 “隔熱神器”。航天器在穿越大氣層時,會與空氣劇烈摩擦產生極高的溫度,此時芳綸氣凝膠復合材料制成的隔熱部件能夠有效地阻擋熱量傳遞,保護航天器內部的設備和人員安全 。在國際空間站中,就應用了芳綸氣凝膠復合材料來制作隔熱材料,確保空間站在極端溫度環境下能夠正常運行 。它的應用還能降低航空發動機的熱量散失,提高發動機的熱效率,延長發動機的使用壽命。可以說,芳綸氣凝膠復合材料的出現,為航空航天事業的發展提供了強大的技術支持,助力人類向著更高、更遠的天空邁進 。

圖3“美洲豹”戰斗機駕駛艙機艙采用氣凝膠隔熱材料
在建筑領域,芳綸氣凝膠復合材料的應用為打造綠色、舒適、安全的家園提供了有力支持。在建筑保溫材料方面,其優異的隔熱性能能夠有效阻止熱量的傳遞,降低建筑物的能耗。無論是在寒冷的北方,還是炎熱的南方,使用芳綸氣凝膠復合材料作為保溫材料,都能顯著提高建筑物的能源效率 。在一些新建的綠色建筑中,采用芳綸氣凝膠復合保溫板,與傳統保溫材料相比,可使建筑物的能耗降低 20% - 30% ,大大減少了對能源的依賴,實現了節能減排的目標 。
在防火材料方面,芳綸氣凝膠復合材料具有良好的阻燃性能,能夠有效阻止火災的蔓延,為人員疏散和消防救援爭取寶貴的時間 。在一些高層建筑和公共場所,如商場、寫字樓等,使用芳綸氣凝膠復合材料制作防火門、防火隔墻等,能夠提高建筑物的防火安全性 。它還能在火災中保持結構的完整性,減少火災對建筑物的破壞 。在隔音材料方面,其多孔結構能夠有效地吸收和散射聲波,降低外界噪音對室內環境的影響 。在靠近交通干線或工業區域的建筑中,使用芳綸氣凝膠復合材料作為隔音材料,可使室內噪音降低 10 - 15 分貝 ,為人們創造一個安靜、舒適的生活和工作環境 。
芳綸/二氧化硅納米纖維雙網絡復合氣凝膠在柔性摩擦納米發電機(TENG)中展現出巨大潛力。這種材料不僅具有高孔隙率、高拉伸強度、低熱導率和大比表面積,還具備優異的耐火性能,能夠在液氮中反復彎曲而不破壞結構,且不會出現傳統氣凝膠易掉粉的現象。這種特性使其在極端環境下(如消防服等智能防護織物)具有重要應用價值。

通過燃燒試驗,研究人員發現芳綸氣凝膠纖維因其大比表面積,阻燃性能差,火焰能夠沿著纖維蔓延,而復合氣凝膠纖維具有自熄、無熔滴的優異阻燃耐火性能。厚度為3.5mm的復合氣凝膠織物暴露在酒精燈火焰5分鐘,火焰仍無法燒穿織物。將復合氣凝膠織物作為TENG的摩擦層制備的TENG具有穩定的電輸出性能,在整流后能點亮10盞LED燈泡。并且,TENG暴露在酒精燈火焰中5秒后,其電輸出性能仍然能保留94%,顯示出極高的穩定性。這種有機無機雙網絡氣凝膠纖維的制備策略為開發高性能和多功能氣凝膠纖維材料應用于極端環境提供了更多可能性。
在當前的氣凝膠市場中,二氧化硅氣凝膠纖維復合材料以其卓越的隔熱性能占據了主導地位,占據了市場收入的85%。盡管如此,這一材料在市場上的應用仍然相對有限,主要集中在隔熱領域。全球的生產商和分銷商主要分布在北美、亞洲和歐洲地區。二氧化硅氣凝膠紡織復合材料被認為是未來熱超絕熱領域最具前景的解決方案之一。然而,與傳統的保溫材料如礦棉、發泡聚苯乙烯(EPS)和聚氨酯(PUR)泡沫以及無機多孔材料如珍珠巖相比,二氧化硅氣凝膠在市場上的份額仍然較小,僅占全球保溫材料市場份額的百分之二左右。
盡管二氧化硅氣凝膠在隔熱性能方面表現出顯著優勢,但其市場推廣和應用卻面臨多重挑戰。首先,二氧化硅氣凝膠的密度通常較高,這與外界過度宣傳的“世界上最輕的材料”形象有所出入。實際上,許多其他材料如纖維素、聚氨酯乃至棉花在密度上都低于二氧化硅氣凝膠,而過低的密度反而會增加氣體傳導,進而影響其隔熱效果。其次,二氧化硅氣凝膠的生產成本高昂,遠超傳統保溫材料,這在很大程度上制約了其市場交易量。再者,二氧化硅氣凝膠的結構脆弱,機械強度較差,容易在外力作用下破碎,這對其實際應用范圍和性能穩定性構成了顯著挑戰。盡管如此,二氧化硅氣凝膠的研究和應用仍具備廣闊的發展前景。技術發展趨勢表明,未來研究將聚焦于提升芳綸纖維增強氣凝膠的機械強度、熱穩定性和阻燃性能。此外,隨著環保意識的不斷提升,開發可回收的芳綸纖維增強氣凝膠將成為重要研究方向。通過優化制備工藝,如改進濕法紡絲法的工藝參數,降低生產成本,也將有力推動二氧化硅氣凝膠的大規模工業化生產。
綜上所述,盡管二氧化硅氣凝膠在隔熱材料市場中具有獨特的優勢,但其在市場推廣和應用上仍需克服一系列技術和成本上的挑戰。未來的發展將依賴于材料性能的進一步提升、成本的降低以及可持續性的增強。隨著相關技術的不斷進步,二氧化硅氣凝膠有望在隔熱材料市場中占據更加重要的地位。
[1]王亮,辛怡,曹永平,等.芳綸纖維氈增強二氧化硅氣凝膠隔熱材料的制備及其性能[J/OL].西安工程大學學報,1-7[2025-02-24].http://kns.cnki.net/kcms/detail/61.1471.N.20250113.1723.008.html.
[2]潘月磊, 程旭東, 閆明遠, 何盼, 張和平. 二氧化硅氣凝膠及其在保溫隔熱領域應用進展[J]. 化工進展, 2023, 42(1): 297-309.
[3]Zahra Mazrouei-Sebdani, Mohammadreza Naeimirad, Stefan Peterek, Hasina Begum, Sandra Galmarini, Franz Pursche, Enes Baskin, Shanyu Zhao, Thomas Gries, Wim J. Malfait,Multiple assembly strategies for silica aerogel-fiber combinations–A review,Materials & Design,Volume 223,2022,111228,ISSN 0264-1275,https://doi.org/10.1016/j.matdes.2022.111228.
[4]J.Li, X. Hu, Y. Pan, J. Qian, Z. Qiang, Z. Meng, C. Ye, M. Zhu,Mechanically Robust and Thermal Insulating Silica/Aramid Nanofiber Composite Aerogel Fibers with Dual Networks for Fire-Resistant and Flexible Triboelectric Nanogenerators.Adv. Funct. Mater.2024,34, 2410940.
表情