摘要
隨著環保意識增強,建筑行業對生物基泡沫材料的需求日益增長。本文聚焦于聚乳酸(PLA)與微纖維素原纖維(MCF)制備的可堆肥全生物基泡沫材料,采用超臨界二氧化碳(sc-CO?)物理發泡法,探究了MCF對泡沫材料結構、性能的影響,并評估其在零能耗建筑中的應用潛力。研究表明,該泡沫材料在可降解性和保溫性能方面具有一定優勢,雖在能源消耗上略高于傳統材料,但仍展現出良好的應用前景。
#聚乳酸;#微纖維素原纖維;#生物基泡沫;#可堆肥性;#零能耗建筑
一、引言
建筑行業的發展帶來了能源消耗和環境問題,傳統石油基聚合物泡沫(如聚氨酯和聚苯乙烯)在建筑保溫領域廣泛應用,但因其不可降解性對環境造成威脅。生物基聚合物泡沫作為替代品備受關注,其中PLA因原料可再生、生產能耗低等優勢成為研究熱點。MCF具有高模量、大比表面積等特性,常作為增強材料用于改善聚合物性能。本文旨在研究PLA/MCF泡沫材料的性能,并評估其在零能耗建筑中的應用效果。
二、實驗部分
2.1 實驗材料
選用Nature works LLC公司的無定形PLA(Ingeo 4060D),其d - 丙交酯含量為12%,密度1.24g/cm3,熔點210°C;MCF由TENSTECH Inc. NC提供,源自特定木漿,經研磨得到尺寸10 - 120nm、長徑比10的原纖維,有效粉末密度0.47g/cm3;以純度99.9%的二氧化碳作為發泡劑。按不同比例制備PLA/MCF共混物,標記為PLA_X(X = 0、A、B、C,分別對應0wt.%、1.5wt.%、2.25wt.%、3wt.%的MCF)。
2.2 發泡工藝
通過雙螺桿擠出機將PLA與MCF熔融共混,制備直徑12.7mm、厚度1.5mm的壓縮模塑樣品。采用兩步二氧化碳降壓發泡法,先將樣品置于預熱至70°C的壓力容器中,通入二氧化碳并保持5h(飽和溫度70°C、飽和壓力11.72MPa) ,使氣體充分溶解。隨后降溫至58°C,迅速降壓至3.45MPa,促進泡孔成核與生長,再進行二次降壓并冷卻至室溫,得到泡沫樣品。

圖1:發泡過程示意圖
2.3 性能測試
(1)玻璃化轉變溫度(Tg):利用Perkin Elmer DSC 4000差示掃描量熱儀,以10°C/min的速率從30°C升溫至190°C并保持2min,再以相同速率降溫至30°C,進行兩個循環,從加熱掃描曲線計算Tg。
(2)微觀結構:使用環境掃描電鏡(FEI Quanta 200 ESEM)在高真空下觀察樣品斷面形貌,對冷凍斷裂后的樣品進行金/鈀鍍膜處理;在低真空下測量泡沫表皮厚度。
(3)密度、孔隙率和形態分析:依據ASTM標準,采用基于阿基米德原理的電子密度計測定未發泡聚合物和泡沫密度,計算膨脹比;利用Ultrapyc 1200e型氣體置換式孔隙率儀,基于氦氣置換原理測定開孔孔隙率;通過Image J Pro軟件分析SEM圖像,計算泡孔密度、泡孔尺寸和空隙率,進而得出泡孔壁厚度。
(4)力學性能:在室溫下,使用Shimadzu AG - X plus系列材料試驗機,按照ASTM標準對未發泡復合材料和泡沫進行壓縮測試,因樣品脆性,選用0.5mm/min的橫梁速度,測定壓縮模量和壓縮強度。
(5)熱導率:采用Hot - Disk熱常數分析儀,在室溫環境下,將泡沫樣品切成特定尺寸,以Kapton傳感器作為熱源和溫度傳感器,進行160s的瞬態熱傳導測試,自動計算熱導率,并多次測量取平均值,計算熱阻R值。
(6)生物降解性:依據ASTM D 5388標準,使用自動多單元堆肥系統(AMUCS)進行堆肥實驗。將泡沫樣品與堆肥混合,在特定溫度和濕度條件下培養50天,定期測定堆肥的水分含量、總固體和揮發性固體含量,通過CHN元素分析測定堆肥前后的元素組成,計算二氧化碳釋放量,評估泡沫的生物降解率。
(7)能源模擬:以美國北德克薩斯大學的零能耗研究實驗室為模型,利用EnergyPlus軟件,模擬分析PLA/MCF泡沫材料替代傳統聚氨酯泡沫作為建筑保溫材料時的加熱和冷卻能耗。
三、結果與討論
3.1 MCF對泡沫玻璃化轉變溫度的影響
隨著MCF含量增加,未發泡PLA/MCF共混物的第二Tg值逐漸降低,表明MCF對PLA起到了增塑作用。發泡后,由于sc - CO?的增塑作用,泡沫的Tg值進一步下降。所有泡沫的Tg值約為45±2°C,說明sc - CO?和MCF共同作用影響了聚合物鏈的運動性。

表1:固體 PLA/MCFs 復合材料的第一個Tg值和泡沫共混物的第二個T g值
3.2 微觀結構分析
MCF在PLA基體中作為成核劑,降低了氣泡形成所需的自由能,增加了泡孔密度,減小了泡孔尺寸。純PLA泡沫具有雙峰泡孔結構,而添加MCF后,泡孔尺寸分布更加均勻。1.5wt.% MCF時,微纖維素原纖維松散分布于PLA界面,降低了泡沫密度;但隨著MCF含量增加,出現“角質化”團聚現象,導致未發泡復合材料密度增加,泡沫空隙率和開孔孔隙率降低,使泡沫變硬,限制了二氧化碳的吸附和膨脹。

表2:泡沫形狀參數

圖2:SEM 顯微照片和細胞尺寸與頻率分布:(a)PLA_0f,(b)PLA_Af,(c)PLA_Bf,(d)PLA_Cf
3.3 力學性能
圖 3和表3顯示了未發泡和發泡樣品的壓縮測試結果。在未發泡材料中,適量添加MCF(如PLA - A)可使模量和強度分別提高48%和35%,但繼續增加MCF含量則導致性能下降。泡沫材料的力學性能同樣呈現先增后減的趨勢,PLA - A泡沫的模量和強度相比未發泡材料有所提高,但總體而言,泡沫化使材料的模量和強度大幅下降(約99%) ,這與泡沫孔隙結構的變化有關,且與聚丙烯泡沫的性能變化規律不同。

圖3:機械(壓縮)特性圖:(a)未發泡復合材料,(b)泡沫復合材料

表 3:具有不同 MCF 重量分數的 PLA/MCF 復合材料的機械和熱性能
3.4 熱性能
MCF的加入影響了未發泡復合材料的密度,隨著MCF含量增加,有效熱導率線性增加。對于泡沫材料,1.5wt.% MCF的泡沫熱導率最低(0.04926W/m?K) ,低于純PLA泡沫。這是因為該含量下,MCF位于界面,增加了開孔孔隙率和空隙率,降低了密度,提高了隔熱性能。但隨著MCF含量進一步增加,其團聚導致泡孔壁厚度和表皮厚度增加,有效熱導率上升。通過理論計算和模擬驗證了這一結論。
3.5 能源模擬結果
使用PLA/MCF泡沫作為建筑保溫材料的模擬結果顯示,與傳統聚氨酯泡沫相比,新泡沫材料的建筑能源保護效果相似,能源消耗最多增加12%。其中,低MCF含量的泡沫在能源效率方面表現更優,且該泡沫在環保方面具有優勢,長期來看,有望實現更多的建筑節能。
3.6 生物降解性
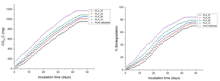
下面的圖 4 顯示了在 50 天的堆肥測試期間產生的凈 CO 2 -C 和泡沫的生物降解行為百分比。堆肥實驗表明,添加纖維素的PLA泡沫(PLA - Af、PLA - Bf、PLA - Cf)比純PLA泡沫(PLA - 0f)降解更快,微生物活性更高。PLA - Cf(3wt.%纖維素含量)的降解率最高,在50天的堆肥周期內達到79.4%,相比PLA - 0f有顯著提升。以純纖維素為參考,PLA - Af、PLA - Bf和PLA - Cf的相對礦化率分別約為87%、91.4%和95%,符合新的 ASTM 6400-19 和 ISO 17088 國際堆肥標準,證明纖維素增強的PLA泡沫在填埋時可生物降解。

圖4:泡沫的凈累積 CO2 - C 生成量;泡沫的生物降解百分比
四、結論
本文通過sc - CO?物理發泡法制備了不同MCF含量的PLA泡沫材料,研究了MCF對泡沫性能的影響及其在零能耗建筑中的應用潛力。MCF在PLA泡沫中起到成核劑的作用,影響泡孔結構和材料性能。低含量的MCF(1.5wt.%)可改善泡沫的隔熱性能,高含量則會導致熱導率上升和力學性能下降。在能源模擬中,PLA/MCF泡沫的能源消耗略高于傳統聚氨酯泡沫,但具有環保優勢。生物降解實驗表明,該泡沫材料符合國際堆肥標準,在填埋時可有效降解。綜合來看,PLA/MCF泡沫材料在建筑保溫領域具有一定的應用前景,為可持續建筑材料的發展提供了新的選擇,但仍需進一步優化性能,以降低對能源消耗的影響。未來研究可探索更優化的配方和工藝,提升材料綜合性能,推動其大規模應用。
原始文獻:
Oluwabunmi, K., D’Souza, N.A., Zhao, W. et al. Compostable, fully biobased foams using PLA and micro cellulose for zero energy buildings. Sci Rep 10, 17771 (2020). https://doi.org/10.1038/s41598-020-74478-y